开云手机版登录入口智慧农业系任天恒教授课题组在小麦品质育种和相关QTL发掘工作中取得新进展。该研究以小麦品种川农17和川农11创制的RIL群体为研究材料,通过小麦55K芯片绘制了一张含有8329个SNP分子标记的高密度遗传连锁图谱。通过多年多点对小麦群体的蛋白质含量、淀粉含量、溶胀指数、沉降值、湿面筋含量、面筋指数和降落值进行的测定,结合QTL定位技术,一共定位了92个QTL位点,194个cQTL位点和117个eQTL位点。其中有6个QTL位点,分别是QGPC.sau-4A.1、QWGC.sau-4A、QSDSS.sau-1A.1、QGI.sau-1A、QFN.sau-4D和QSIG.sau-1A被认为是和各性状相关的主效稳定位点。BLAST结果表明除了QFN.sau-4D以外,其他的5个位点为新QTL位点。在QTL簇的分析中,分别在1A、1D、2D、4A、4D和6D染色体上鉴定到8个QTL簇,所有的主效稳定位点均位于不同的QTL簇内。最后,通过6个主效稳定的QTL的侧翼序列,开发了和这6个QTL紧密连锁的分子标记并在不同的群体中进行了验证,实验证明这些稳定主效的QTL位点会显著影响小麦的品质。

图1主效稳定QTL位点的遗传效应
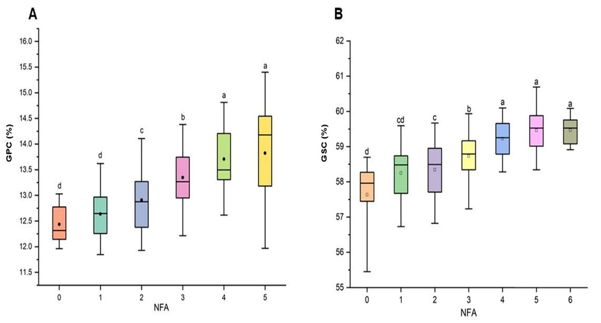
聚合效应分析表明,在本研究中发现的5个和蛋白质含量相关的QTL,只要在某一株系中任意出现0-4个时,蛋白质含量均会显著增加,而本研究中发现的6个和淀粉含量相关的QTL,只要在某一株系中任意出现0-4个时,淀粉含量也会显著增加,呈现了典型了聚合效应。

图2蛋白质和淀粉含量的聚合效应分析
该研究以四川农业大学为第一署名单位,开云手机版登录入口李治副教授和2024届硕士毕业生李辛丽为共同第一作者,任天恒教授为通讯作者,以题目《Identification and validation of quantitative trait loci for seven quality-related traits in common wheat (Triticum aestivumL.)》(七个小麦品质性状相关QTL的鉴定与验证)在国际著名期刊《Theoretical and Applied Genetics》(中科院一区TOP期刊)发表。为西南麦区的小麦品质育种提供了新依据。本研究受到国家自然科学基金,国家农业重大科技项目,四川省科技厅自然科学基金,西南作物基因资源发掘与利用国家重点实验室“生物育种”揭榜挂帅项目等项目的支持。
全文链接:https://link.springer.com/article/10.1007/s00122-025-04851-w